找回密码
 立即注册

QQ登录

只需一步,快速开始

查看: 4025|回复: 12

【PLC编程实例】小型冷库恒温控制的PLC设计

 火.. [复制链接]
  • 打卡等级:常驻代表
  • 打卡总天数:34
  • 打卡月天数:6
  • 打卡总奖励:9027
  • 最近打卡:2025-12-17 23:15:51

2823

主题

541

回帖

2万

积分

管理员

积分
22569
发表于 2020-10-25 19:55:58 | 显示全部楼层 |阅读模式
[size=0.8]一、冷库的方案设计
[size=0.8]1. 设计条件和设计参数设计条件:设计对象一层结构的药材冷藏库,+5℃冷藏库库体容积约为760立方米, -20℃冷藏库库体容积约为27立方米。设计参数:环境参数:干球温度TD=33.5℃ ,相对湿度RH=85℅;室内参数:
[size=0.8]+5℃药材药品冷藏库 干球温度TD=+5℃ ,相对湿度RH=85—90℅;-20℃药材药品冷藏库 干球温度TD=-20℃ ,相对湿度RH=85—90℅;
[size=0.8]2. 设计依据
[size=0.8]3. 系统设计和内容
[size=0.8]4. 库体施工说明该冷库为使用中的土建式冷库,库体、地坪保温情况良好,无须改动。只须用聚氨脂彩钢板隔出一部分空间作为+5℃冷藏库和-20℃冷藏库使用。原有部分风管、风口应拆除。5. 内隔墙墙体施工方法墙体的施工首先是聚氨脂泡沫彩钢板的架设,彩钢板架设后用拉码固定。在架设彩钢板时应尽量使用原块,彩钢板之间拼接时应充分贴平,需要切割时,其表面必须均匀涂布防水材料。安装完成用散装聚胺酯发泡剂封漏缝。
[size=0.8]6. 制冷系统
[size=0.8]7. 机组的安装
[size=0.8]二、冷库的安装平面


[size=0.8]「PLC编程实例」小型冷库恒温控制的PLC设计
[size=0.8]三、制冷系统原理图


[size=0.8]「PLC编程实例」小型冷库恒温控制的PLC设计
[size=0.8]四、继电器-接触器电路


[size=0.8]「PLC编程实例」小型冷库恒温控制的PLC设计
[size=0.8]五、PLC的输入信号
[size=0.8]六、PLC的输出信号
[size=0.8]七、PLC的控制要求
[size=0.8]八、PLC设备清单
[size=0.8]1. 主 机 K7M-DRT60U 1台 36-I/24-O I/O模块G7E-DR20A 1台 12-I/8-O
[size=0.8]I/O模块 G7E-DC08A 1台 08-I/0-O
[size=0.8]三共68-I/40-O
[size=0.8]2. 备用电池25Ah DC24V
[size=0.8]九、PLC的系统接线
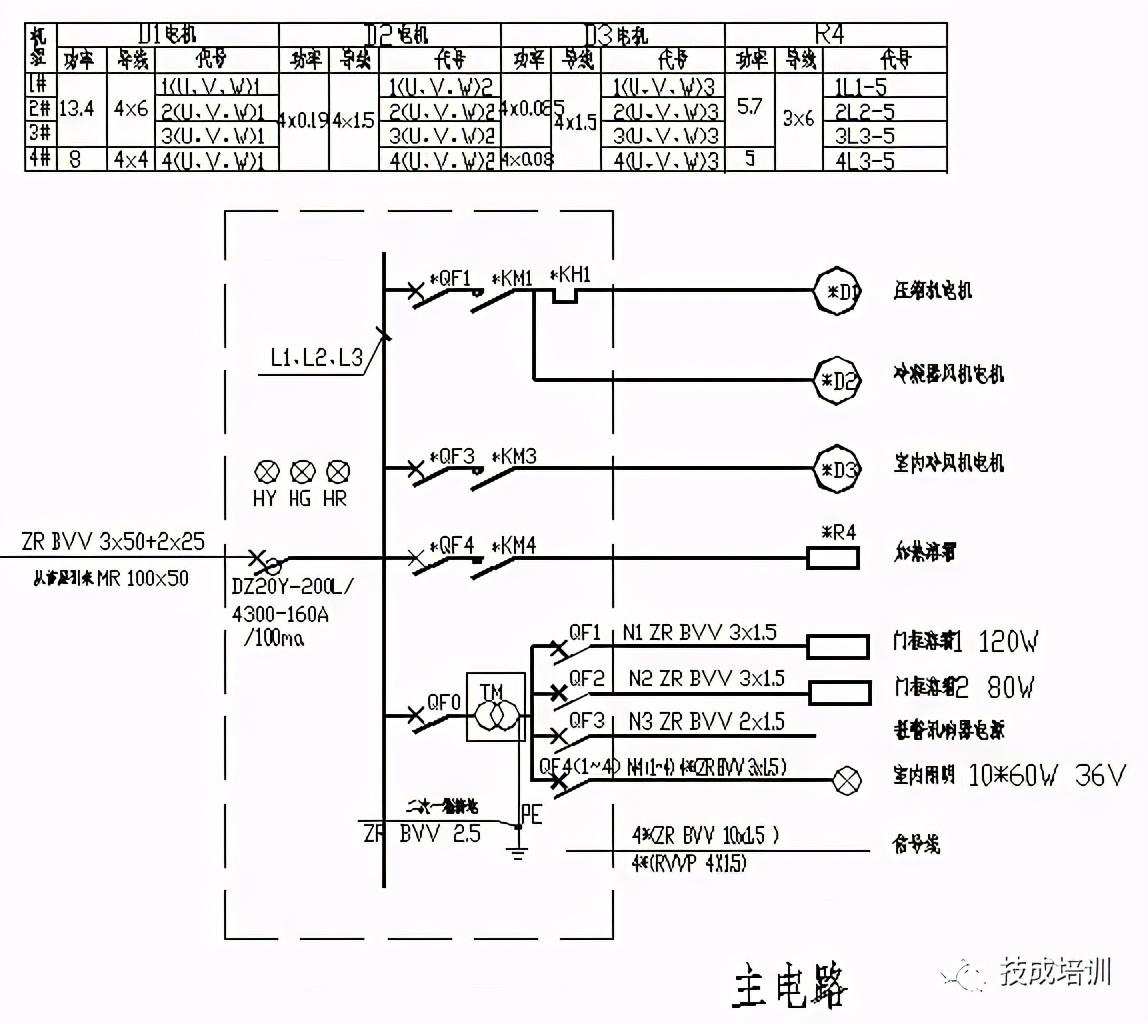
[size=0.8]1. 主电路


[size=0.8]「PLC编程实例」小型冷库恒温控制的PLC设计
[size=0.8]2. 控制电路


[size=0.8]「PLC编程实例」小型冷库恒温控制的PLC设计
[size=0.8]3. 主机接线


[size=0.8]「PLC编程实例」小型冷库恒温控制的PLC设计
[size=0.8]4. 输入接线


[size=0.8]「PLC编程实例」小型冷库恒温控制的PLC设计
[size=0.8]5. 输出接线


[size=0.8]「PLC编程实例」小型冷库恒温控制的PLC设计
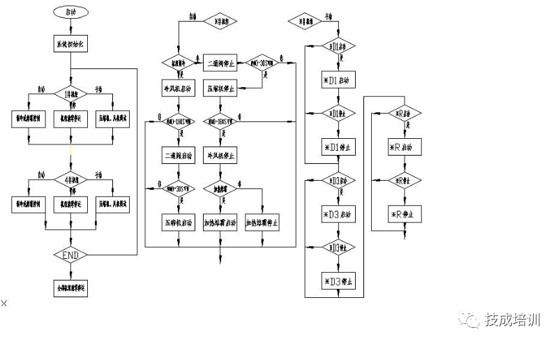
[size=0.8]十、PLC的程序框图


[size=0.8]「PLC编程实例」小型冷库恒温控制的PLC设计
[size=0.8]十一、PLC的优化设计
[size=0.8]1.输入扩展电路的梯形图用移位指令,以F0090的20ms扫描刷新P40~P43晶体管输出,给P001C~P0023送去取样电源,这样就得到了4x8=32点的输入信号扩展。梯形图如下:


[size=0.8]「PLC编程实例」小型冷库恒温控制的PLC设计
[size=0.8]它们的地址是:A. 压缩机及风冷机手动启动信号1). 1SB1—P40*P1C2). 2SB1—P41* P1C3). 3SB1—P42* P1C4). 4SB1—P43* P1CB. 压缩机及风冷机手动停止信号1). 1SB2—P40*P1D2). 2SB2—P41*P1D3). 3SB2—P42*P1D4). 4SB2—P43*P1DC. 室风冷风机手动启动信号1). 1SB11—P40*P1E2). 2SB11—P41*P1E3). 3SB11—P42*P1E4). 4SB11—P43*P1ED. 室风冷风机手动停止信号1). 1SB12—P40*P1F2). 2SB12—P41*P1F3). 3SB12—P42*P1F4). 4SB12—P43*P1FE. 熔霜加热手动启动信号1). 1SB21—P40*P202). 2SB21—P41*P203). 3SB21—P42*P204). 4SB21—P43*P20F. 熔霜加热手动停止信号1). 1SB22—P40*P212). 2SB22—P41*P213). 3SB22—P42*P214). 4SB22—P43*P21G. 压缩机运行信号反馈1). 1KM1—P40*P222). 2KM1—P41*P223). 3KM1—P42*P224). 4KM1—P43*P22H. 化霜反馈信号1). 1KM4—P40*P232). 2KM4—P41*P233). 3KM4—P42*P23
[size=0.8]4). 4KM4—P43*P23
[size=0.8]2.输出扩展电路的梯形图
[size=0.8]显示点的地址是:
[size=0.8]1). 工作状态显示A. 1HG0—P40*P44B. 2HG0—P40*P45C. 3HG0—P40*P46D. 4HG0—P40*P472). 压缩机过载显示A. 1HY1—P41*P44B. 2HY1—P41*P45C. 3HY1—P41*P46D. 4HY1—P41*P473). (常亮)系统压力过高(闪亮)系统压力过低显示A. 1HY0—P42*P44B. 2HY0—P42*P45C. 3HY0—P42*P46D. 4HY0—P42*P474). 电源单相显示 1HG3—P43*P44
[size=0.8]5). 报 警 显 示 HA—P43*P47
[size=0.8]梯形图如下:
[size=0.8]图中只编写了1#机组的梯形图。

本帖子中包含更多资源

您需要 登录 才可以下载或查看,没有账号?立即注册

×
工控课堂 www.gkket.com

0

主题

96

回帖

263

积分

注册会员

积分
263
发表于 2020-10-25 19:55:58 | 显示全部楼层
在遇到你之前我对人世间是否有技术大佬保有怀疑,现在我是彻底被你征服了
工控课堂 www.gkket.com

0

主题

113

回帖

340

积分

注册会员

积分
340
发表于 2020-10-25 19:56:44 | 显示全部楼层
强烈支持楼主ing……
工控课堂 www.gkket.com

0

主题

87

回帖

132

积分

新手上路

积分
132
发表于 2025-11-14 10:11:12 | 显示全部楼层
路过打卡,为优质内容疯狂打 call
工控课堂 www.gkket.com

0

主题

108

回帖

166

积分

新手上路

积分
166
发表于 2025-11-14 11:11:50 | 显示全部楼层
赞同 + 10086,没毛病,完全没毛病
工控课堂 www.gkket.com

0

主题

82

回帖

125

积分

新手上路

积分
125
发表于 2025-11-14 12:26:58 | 显示全部楼层
来凑个热闹,为楼主增加点人气!
工控课堂 www.gkket.com

0

主题

108

回帖

376

积分

注册会员

积分
376
发表于 2025-11-20 09:04:27 | 显示全部楼层
路过混个脸熟,顺便为优质内容打 call~
工控课堂 www.gkket.com

0

主题

128

回帖

205

积分

注册会员

积分
205
发表于 2025-11-20 09:11:36 | 显示全部楼层
水个经验,支持楼主,加油呀
工控课堂 www.gkket.com

0

主题

83

回帖

303

积分

注册会员

积分
303
发表于 2025-11-20 09:13:08 | 显示全部楼层
不请自来,只为说一句:太精彩了!
工控课堂 www.gkket.com

0

主题

109

回帖

218

积分

注册会员

积分
218
发表于 2025-11-20 09:13:35 | 显示全部楼层
来凑个热闹,增加点人气~
工控课堂 www.gkket.com
您需要登录后才可以回帖 登录 | 立即注册

本版积分规则

关闭

站长推荐上一条 /1 下一条

QQ|手机版|免责声明|本站介绍|工控课堂 ( 沪ICP备20008691号-1 )

GMT+8, 2025-12-22 14:09 , Processed in 0.114814 second(s), 27 queries .

Powered by Discuz! X3.5

© 2001-2025 Discuz! Team.

快速回复 返回顶部 返回列表