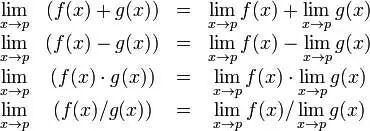
MATLAB提供了解决微分和积分微积分的各种方法,求解任何程度的微分方程和极限计算。可以轻松绘制复杂功能的图形,并通过求解原始功能以及其衍生来检查图形上的最大值,最小值和其他固定点。 本章将介绍微积分问题。在本章中,将讨论预演算法,即计算功能限制和验证限制属性。 在下一章微分中,将计表达式的导数,并找到一个图的局部最大值和最小值。我们还将讨论求解微分方程。 最后,在“整合/集成”一章中,我们将讨论积分微积分。 计算极限MATLAB提供计算极限的limit函数。在其最基本的形式中,limit函数将表达式作为参数,并在独立变量为零时找到表达式的极限。 例如,要计算函数f(x)=(x^3 + 5)/(x^4 + 7)的极限,因为x趋向于零。 syms xlimit((x^3 + 5)/(x^4 + 7))MATLAB 执行上面示例代码,得到以下结果 - Trial>> syms xlimit((x^3 + 5)/(x^4 + 7))ans =5/7Shell limit函数落在符号计算域; 需要使用syms函数来告诉MATLAB正在使用的符号变量。还可以计算函数的极限,因为变量趋向于除零之外的某个数字。要计算 - 可使用带有参数的limit命令。第一个是表达式,第二个是数字 - x表示接近,这里它是a。 例如,要计算函数f(x)=(x-3)/(x-1)的极限,因为x倾向于1。 limit((x - 3)/(x-1),1)MATLAB 执行上面示例代码,得到以下结果 - ans = NaNShell 下面再看另外一个例子, limit(x^2 + 5, 3)Shell 执行上面示例代码,得到以下结果 - ans = 14Shell 使用Octave计算极限以下是Octave版本的上述示例使用symbolic包,尝试执行并比较结果 - pkg load symbolicsymbolsx=sym("x");subs((x^3+5)/(x^4+7),x,0)MATLAB 执行上面示例代码,得到以下结果 - ans =0.7142857142857142857Shell 验证极限的基本属性代数极限定理提供了极限的一些基本属性。这些属性如下 - 下面来考虑两个函数 - f(x) = (3x + 5)/(x - 3)g(x) = x^2 + 1.下面计算函数的极限,这两个函数的x趋向于5,并使用这两个函数和MATLAB验证极限的基本属性。 例子 创建脚本文件并在其中键入以下代码 - syms xf = (3*x + 5)/(x-3);g = x^2 + 1;l1 = limit(f, 4)l2 = limit (g, 4)lAdd = limit(f + g, 4)lSub = limit(f - g, 4)lMult = limit(f*g, 4)lDiv = limit (f/g, 4)MATLAB 执行上面示例代码,得到以下结果 - l1 = 17l2 =17lAdd = 34lSub = 0lMult =289lDiv =1Shell 使用Octave验证极限的基本属性以下是Octave版本的上述示例使用symbolic包,尝试执行并比较结果 - pkg load symbolicsymbolsx = sym("x");f = (3*x + 5)/(x-3);g = x^2 + 1;l1=subs(f, x, 4)l2 = subs (g, x, 4)lAdd = subs (f+g, x, 4)lSub = subs (f-g, x, 4)lMult = subs (f*g, x, 4)lDiv = subs (f/g, x, 4) MATLAB 执行上面示例代码,得到以下结果 - l1 =17.0l2 =17.0lAdd =34.0lSub =0.0lMult =289.0lDiv =1.0Shell 左右边界极限当函数对变量的某个特定值具有不连续性时,该点不存在极限。 换句话说,当x = a时,函数f(x)的极限具有不连续性,当x的值从左侧接近x时,x的值不等于x从右侧接近的极限值。 对于x <a的值,左极限被定义为x - > a的极限,从左侧即x接近a。 对于x> a的值,右极限被定义为x - > a的极限,从右边,即x接近a。 当左极限和右极限不相等时,极限不存在。 下面来看看一个函数 - f(x) = (x - 3)/|x - 3|下面将显示
通过将字符串“left”和“right”作为最后一个参数传递给limit命令来计算左侧和右侧的极限。 例子 创建脚本文件并在其中键入以下代码 - f = (x - 3)/abs(x-3);ezplot(f,[-1,5)l = limit(f,x,3,'left')r = limit(f,x,3,'right')MATLAB 执行上面示例代码,得到以下结果 - 显示以下输出结果 - Trial>> Trial>> f = (x - 3)/abs(x-3);ezplot(f,[-1,5])l = limit(f,x,3,'left')r = limit(f,x,3,'right')l =-1r =1Shell MATLAB提供用于计算符号导数的diff命令。 以最简单的形式,将要微分的功能传递给diff命令作为参数。 例如,计算函数的导数的方程式 - 例子 创建脚本文件并在其中键入以下代码 - syms tf = 3*t^2 + 2*t^(-2);diff(f)MATLAB 执行上面示例代码,得到以下结果 - Trial>> syms tf = 3*t^2 + 2*t^(-2);diff(f)ans =6*t - 4/t^3Shell 以下是使用Octave 计算的写法 - pkg load symbolicsymbolst = sym("t");f = 3*t^2 + 2*t^(-2);differentiate(f,t)MATLAB 执行上面示例代码,得到以下结果 - ans =6*t - 4/t^3Shell 基本微分规则的验证下面简要说明微分规则的各种方程或规则,并验证这些规则。 为此,我们将写一个第一阶导数f'(x)和二阶导数f“(x)。 以下是微分的规则 - 规则 - 1 对于任何函数f和g,任何实数a和b是函数的导数: h(x) = af(x) + bg(x)相对于x,由h’(x) = af’(x) + bg’(x)给出。 规则 - 2 sum和subtraction规则表述为:如果f和g是两个函数,则f'和g'分别是它们的导数,如下 - (f + g)' = f' + g'(f - g)' = f' - g'规则 - 3 product规则表述为:如果f和g是两个函数,则f'和g'分别是它们的导数,如下 - (f.g)' = f'.g + g'.f规则 - 4 quotient规则表明,如果f和g是两个函数,则f'和g'分别是它们的导数,那么 - 规则 - 5 多项式或基本次幂规则表述为:如果y = f(x)= x^n,则 - 这个规则的直接结果是任何常数的导数为零,即如果y = k,那么为任何常数 - f' = 0规则 - 5 chain规则表述为 - 相对于x的函数h(x)= f(g(x))的函数的导数是 - h'(x)= f'(g(x)).g'(x)MATLAB 例子 syms xsyms tf = (x + 2)*(x^2 + 3)der1 = diff(f)f = (t^2 + 3)*(sqrt(t) + t^3)der2 = diff(f)f = (x^2 - 2*x + 1)*(3*x^3 - 5*x^2 + 2)der3 = diff(f)f = (2*x^2 + 3*x)/(x^3 + 1)der4 = diff(f)f = (x^2 + 1)^17der5 = diff(f)f = (t^3 + 3* t^2 + 5*t -9)^(-6)der6 = diff(f)创建脚本文件并在其中键入以下代码 - MATLAB 执行上面示例代码,得到 以下结果 - f = (x^2 + 3)*(x + 2) der1 = 2*x*(x + 2) + x^2 + 3f = (t^(1/2) + t^3)*(t^2 + 3) der2 = (t^2 + 3)*(3*t^2 + 1/(2*t^(1/2))) + 2*t*(t^(1/2) + t^3)f = (x^2 - 2*x + 1)*(3*x^3 - 5*x^2 + 2)der3 = (2*x - 2)*(3*x^3 - 5*x^2 + 2) - (- 9*x^2 + 10*x)*(x^2 - 2*x + 1) f = (2*x^2 + 3*x)/(x^3 + 1)der4 = (4*x + 3)/(x^3 + 1) - (3*x^2*(2*x^2 + 3*x))/(x^3 + 1)^2f = (x^2 + 1)^17der5 = 34*x*(x^2 + 1)^16f =1/(t^3 + 3*t^2 + 5*t - 9)^6der6 = -(6*(3*t^2 + 6*t + 5))/(t^3 + 3*t^2 + 5*t - 9)^7Shell 以下是对上面示例的Octave写法 - pkg load symbolicsymbolsx=sym("x");t=sym("t");f = (x + 2)*(x^2 + 3) der1 = differentiate(f,x) f = (t^2 + 3)*(t^(1/2) + t^3) der2 = differentiate(f,t) f = (x^2 - 2*x + 1)*(3*x^3 - 5*x^2 + 2) der3 = differentiate(f,x) f = (2*x^2 + 3*x)/(x^3 + 1) der4 = differentiate(f,x) f = (x^2 + 1)^17 der5 = differentiate(f,x) f = (t^3 + 3* t^2 + 5*t -9)^(-6) der6 = differentiate(f,t)MATLAB 指数,对数和三角函数的导数下表提供了常用指数,对数和三角函数的导数, 例子 syms xy = exp(x)diff(y)y = x^9diff(y)y = sin(x)diff(y)y = tan(x)diff(y)y = cos(x)diff(y)y = log(x)diff(y)y = log10(x)diff(y)y = sin(x)^2diff(y)y = cos(3*x^2 + 2*x + 1)diff(y)y = exp(x)/sin(x)diff(y)创建脚本文件并在其中键入以下代码 - MATLAB 执行上面示例代码,得到以下结果 - y = exp(x) ans = exp(x)y =x^9 ans = 9*x^8y = sin(x) ans = cos(x)y = tan(x)ans = tan(x)^2 + 1 y = cos(x) ans = -sin(x)y = log(x) ans = 1/xy = log(x)/log(10) ans = 1/(x*log(10))y = sin(x)^2 ans = 2*cos(x)*sin(x) y =cos(3*x^2 + 2*x + 1) ans = -sin(3*x^2 + 2*x + 1)*(6*x + 2)y = exp(x)/sin(x) ans = exp(x)/sin(x) - (exp(x)*cos(x))/sin(x)^2Shell 以下代码是上面代码的Octave写法 - pkg load symbolicsymbolsx = sym("x");y = Exp(x)differentiate(y,x)y = x^9differentiate(y,x)y = Sin(x)differentiate(y,x)y = Tan(x)differentiate(y,x)y = Cos(x)differentiate(y,x)y = Log(x)differentiate(y,x)% symbolic packages does not have this support%y = Log10(x)%differentiate(y,x)y = Sin(x)^2differentiate(y,x)y = Cos(3*x^2 + 2*x + 1)differentiate(y,x)y = Exp(x)/Sin(x)differentiate(y,x)Shell 计算高阶导数要计算函数f的较高导数,可使用diff(f,n)。 计算函数的二阶导数公式为 - MATLAB MATLAB执行上面代码将返回以下结果 - ans =9*x*exp(-3*x) - 6*exp(-3*x)Shell 以下是使用Octave重写上面示例,代码如下 - pkg load symbolicsymbolsx = sym("x");f = x*Exp(-3*x);differentiate(f, x, 2)MATLAB 例子 在这个例子中,要解决一个问题。由给定函数y = f(x)= 3sin(x)+ 7cos(5x),来找出方程f“+ f = -5cos(2x)是否成立。 创建脚本文件并在其中键入以下代码 - syms xy = 3*sin(x)+7*cos(5*x); % defining the functionlhs = diff(y,2)+y; %evaluting the lhs of the equationrhs = -5*cos(2*x); %rhs of the equationif(isequal(lhs,rhs)) disp('Yes, the equation holds true');else disp('No, the equation does not hold true');enddisp('Value of LHS is: '), disp(lhs);MATLAB 运行文件时,会显示以下结果 - No, the equation does not hold trueValue of LHS is: -168*cos(5*x)Shell 以上是上面示例的Octave写法 - pkg load symbolicsymbolsx = sym("x");y = 3*Sin(x)+7*Cos(5*x); % defining the functionlhs = differentiate(y, x, 2) + y; %evaluting the lhs of the equationrhs = -5*Cos(2*x); %rhs of the equationif(lhs == rhs) disp('Yes, the equation holds true');else disp('No, the equation does not hold true');enddisp('Value of LHS is: '), disp(lhs);MATLAB 查找曲线的最大和最小值如果正在搜索图形的局部最大值和最小值,基本上是在特定地点的函数图上或符号变量的特定值范围内查找最高点或最低点。 对于函数y = f(x),图形具有零斜率的图上的点称为固定点。 换句话说,固定点是f'(x)= 0。 要找到微分的函数的固定点,需要将导数设置为零并求解方程。 示例 要找到函数f(x)= 2x3 + 3x2 - 12x + 17的固定点 可参考以下步骤 - 首先输入函数并绘制图,代码如下 - syms xy = 2*x^3 + 3*x^2 - 12*x + 17; % defining the functionezplot(y)MATLAB 执行上面示例代码,得到以下结果 - 以上是上面示例的Octave写法 - pkg load symbolicsymbolsx = sym('x');y = inline("2*x^3 + 3*x^2 - 12*x + 17");ezplot(y)print -deps graph.epsMATLAB 我们的目标是在图上找到一些局部最大值和最小值,假设要找到图中间隔在[-2,2]的局部最大值和最小值。参考以下示例代码 - syms xy = 2*x^3 + 3*x^2 - 12*x + 17; % defining the functionezplot(y, [-2, 2)MATLAB 执行上面示例代码,得到以下结果 - 以下是上面示例的Octave写法 - pkg load symbolicsymbolsx = sym('x');y = inline("2*x^3 + 3*x^2 - 12*x + 17");ezplot(y, [-2, 2)print -deps graph.epsMATLAB 接下来,需要计算导数。 g = diff(y)MATLAB MATLAB执行代码并返回以下结果 - g =6*x^2 + 6*x - 12Shell 以下是上面示例的Octave写法 - pkg load symbolicsymbolsx = sym("x");y = 2*x^3 + 3*x^2 - 12*x + 17;g = differentiate(y,x)MATLAB 接下来求解导数函数g,得到它变为零的值。 s = solve(g)MATLAB MATLAB执行代码并返回以下结果 - s = 1 -2Shell 以下是上面示例的Octave写法 - pkg load symbolicsymbolsx = sym("x");y = 2*x^ |


|免责声明|本站介绍|工控课堂
( 沪ICP备14007696号-3 )|网站地图
GMT+8, 2019-3-21 23:26 , Processed in 0.038818 second(s), 29 queries .
Powered by Discuz! X3.4
© 2001-2017 Comsenz Inc.