工控课堂

 找回密码
 立即注册

QQ登录

只需一步,快速开始

扫一扫,访问微社区

工控课堂 首页 工控文库 工控编程 查看内容

数学公式背后的有趣故事,看完就爱上他了

2019-8-25 09:46| 发布者: gkket| 查看: 1| 评论: 0

摘要: 现在的我们被数学老师的作业压抑的喘不过气来,被数学压轴题选修课难的只想放弃。其实,数学有他本身的美,数学的背后,有许多有趣的故事。音乐家说数学是世界上最和谐的音符。植物学家说世界上没有比数学更美的花朵 ...

现在的我们被数学老师的作业压抑的喘不过气来,被数学压轴题选修课难的只想放弃。



其实,数学有他本身的美,数学的背后,有许多有趣的故事。


音乐家说

数学是世界上最和谐的音符。

植物学家说

世界上没有比数学更美的花朵。

美学家说

哪里有数学,哪里才有真正的美。

哲学家说

你可以不相信上帝,

但是你必需相信数学,

世界什么都在变,

唯有数学是永恒的。



其实你一点都不厌恶数学


可能你对以上的各种回答不能感同身受,因为,经历过学生生涯的你(尤其是文科生),会说:『数学是我的噩梦!』


t0120459dcb0faf4ab7.jpg?size=600x207


t01de18cc06cf1c50bb.jpg?size=600x800

英国学生 Rory Kirkman 在数学考试两次失败后

把可恨的二次方程求根公式纹在了身上


当我们厌恶数学时,我们厌恶的是数学吗?莫如说我们讨厌的是数学的教学方式和考试方式。今天,请你暂且放下心中对教育制度的愤恨,让我们来一次伟大的数学公式巡礼。如果你在上学的时候老师告诉了你数学公式背后有这么多有趣的故事,你会爱上数学吗?


伟大的数学公式巡礼


NO.1   世上最简单的公式
t01446650f78f36d576.jpg?size=300x85


稍有数学阅历的人都有这样的直觉,凡是『简洁』的公式都会给人以美感。而 1+1=2,这是所有公式中最简单明了的一个了,我们只有把它的发明归功于上帝。


公式背后的故事


t011bb01236accfa16a.jpg?size=500x263


尽管从远古起人们都心照不宣地知道 1+1=2,但直到1557年的某一天,这一等式才写成类似于我们今天的形式。也就是说等号这个每个等式中都有的成分直到16世纪才第一次出场亮相。


NO.2  毕达哥拉斯定理
t0155b93b623684ac8e.jpg?size=450x108


即勾股定理。『勾三股四弦五』,这一定理是如此地深入每一个地球人的心灵。它是人类早期发现并证明的重要数学定理之一(公元前约三千年的古巴比伦书版中就有记载),也是用代数思想解决几何问题的最重要的工具之一。勾股定理(毕达哥拉斯定理)约有400种证明方法,是数学定理中证明方法最多的定理之一。


公式背后的故事


t01f98025ea21eb5d65.gif?size=500x315

毕达哥拉斯是古希腊传统数学和哲学的创始人。以他的名字命名的学派是一个个人崇拜的秘密组织,鼓吹节欲、尊长和一夫一妻制。他认为,世界万物都是由数字统治的,他用数字推断人的命运,如奇数被认为与男性有关,而偶数与女性有关。他发现了称之为『完全数』的数字,也就是那些等于自己全部真因子之和的数字。比如:6(6 = 1 + 2 + 3)和 28(28 = 1 + 2 + 4 + 7 + 14)。已知的完全数共有47 个,随着计算机发展速度的日益加快,每隔几年就会发现新的完全数。



NO.3  圆周率的发现
t01503acfa4def71c6a.jpg?size=640x96


目前,人类已经能得到圆周率的10万亿位精度。不过现代科技领域使用的圆周率值,有十几位已经足够了。如果用35位精度的圆周率值,来计算一个能把太阳系包起来的圆的周长,误差还不到质子直径的百万分之一。现在的人计算圆周率,多数是为了验证计算机的计算能力,还有就是为了兴趣。



公式背后的故事——布丰投针实验


t01df4eb4f69dfa109b.gif?size=500x127

在地板上画一系列间距为2厘米的平行线,然后把一根长度为1厘米的针扔在地板上。那么,这根针与地板上的线条相交的概率是多少呢?1733年,法国博物学家布丰第一次提出了这个问题。1777年,布丰自己解决了这个问题——这个概率值是1/π。

t01cb60f2c0d9b41620.jpg?size=500x456

看到这个事实,阿基米德会目瞪口呆、刘徽会无语凝眸。所以,如果上帝创造了整数,而且他也创造了π,那或许上帝其实是一台计算机。


NO.4  费马最后的定理
t013c5f17e309277f95.jpg?size=440x125


1637年的某一天,法国律师兼业余数学家费马,在一本书的空白处写下了下面一段话:

任何立方数都不可能写为两个立方数之和的形式,也没有任何四次方数可以写成另外两个四次方数的形式。普遍地说,任何二次以上的幂都不可能写成另外两个同次幂的形式。


即,当指数n大于2时,上述方程没有整数解。


在写下上面的猜想后,这个天生羞涩、沉默寡言的人却跟世界玩了一个恶作剧,他又写道:

对此我已经找到了一个真正绝妙的证明,但这里空白处太小,写不下。


然而,他怎料到,他随意写下的两句手记,却让350年间的无数数学家耗尽一生,也没能找到那个证明。直到1994年,英国人安德鲁·怀尔斯才证明了费马最后定理。


公式背后的故事


t01cb9d4190ead69442.jpg?size=500x298

t01e519e6fe6f9a4fad.jpg?size=500x324


以费马定理为主题的纪念邮票


德国人数学家沃尔夫斯凯尔因追求一位漂亮女性被拒绝,遂决定在午夜钟声响起时开枪自杀。他认真地安排好后事,写下遗嘱。他的高效率使得所有的事情略早于午夜的时限就办完了。为了消磨最后的几个小时,他到图书室翻阅数学书籍:一篇关于费马大定理证明的论文……他不知不觉拿起了笔,一行一行进行计算……


然后,天亮了。


沃尔夫斯凯尔为自己发现并改正了论文中的一个漏洞感到无比骄傲,原来的绝望和悲伤消失了,数学将他从死神身边唤回。


1908年,得享天年的沃尔夫斯凯尔写下了他新的遗嘱:他财产中的一大部分作为一个奖,规定奖给任何能证明费马大定理的人,奖金是10万马克,按现在的币值超过100万英镑。


这是他对那个挽救过其生命的盖世难题的报恩方式。


NO.5  微积分基本定理
t016b953b090f892c0d.jpg?size=560x260

微积分是微分和积分的总称,『无限细分』就是微分,『无限求和』就是积分。比如,炮弹飞出炮膛的瞬间速度就是微分的概念,炮弹每个瞬间所飞行的路程之和就是积分的概念。


微积分的诞生是数学史上,也是人类历史上最伟大最有影响的创举,因为从此数学家和科学家在讨论连续变化的数量时便有了科学依据。化学、生物学、地理学、现代信息技术等学科运用微积分的方法推导演绎出各种新的公式、定理,促成了后来一切科学和技术领域的革命。离开微积分,人类将停止前进的步伐。恩格斯曾说:『在一切理论成就中,未必再有什么像17世纪下半叶微积分的发现那样被看作人类精神的最高胜利了。』


公式背后的故事


t01a3146b3fd3aaebb5.jpg?size=621x1000

蔡志忠漫画《人生是时间的微积分》——少林寺石碑


牛顿和莱布尼茨几乎是同时独立地发明了微积分,莱布尼茨稍晚几年。在1673到1675年之间的某个时刻,莱布尼茨曾与牛顿联系,想知道牛顿到底已经知道了些什么,并提出了某种交换信息的建议:你告诉我这个,我就告诉你那个。牛顿在回信中透露了微积分基本定理,但把它隐藏在一个难以破解的字母易位字谜中。牛顿显然并不想与莱布尼茨分享他的发现。他只是要留下伏笔,一旦莱布尼茨以后说这一定理是他自己的,牛顿就可以此证明他才是第一个发明人。敢情伟大的科学家也这么小心眼儿呢!


NO.6  牛顿定律
t015c320bd8e2bcd2a4.jpg?size=610x260

经典物理学中最伟大的没有之一的核心定律。学过高中物理的你,还记得它们吗?


公式背后的故事


t012dbf41ff7f2b9298.jpg?size=584x425


1684年,牛顿的朋友埃德蒙顿·哈雷问牛顿能否证明行星的轨道是椭圆,牛顿说他能。结果三年后,牛顿对这一问题的论证便形成了《自然哲学的数学原理》,该书第一部分就开宗明义叙述了牛顿三大定律,为将来的一切物理学书籍定下了基调。


哈雷慷慨解囊,赞助牛顿出版了此书,他的这一义举最终以一种非常独特的方式得到了回报:除了对苹果和行星以外,牛顿的理论也可应用于彗星。因为彗星的轨道是椭圆,所以它们一定会一次又一次地回归。哈雷意识到,人们曾多次观察到一颗特定彗星,它以大约75年的周期回归:1456年、1531年、1606年和1682年。于是他正确地预测了这颗彗星将会在1758年(那时他早已离世)再次回归。从那时起,这颗彗星每隔75至76年就会回归一次,这就是著名的哈雷彗星。


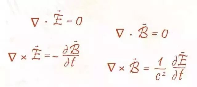
NO.7  麦克斯韦方程组
t0160f84b317c7b706c.jpg?size=640x283

麦克斯韦方程最伟大的功绩就是将电现象、磁现象与光的本质有机地统一在完整的电磁场理论中。这组公式融合了电的高斯定律、磁的高斯定律、法拉第定律以及安培定律。比较谦虚的评价是:『一般地,宇宙间任何的电磁现象,皆可由此方程组解释。』


麦克斯韦揭示了电场和磁场是一种基本媒介,并发现光速c是一个不变的基本物理常数:磁场是由电流产生的,电场是由变化的磁场引发的。而且说到底,光只不过就是传播中的电磁波,是振动中的磁场与电场相互交织、精致编就的织锦,而磁场与电场就好像一幅纺织品上的经线与纬线。


公式背后的故事


t01ec4ddb76944e4334.jpg?size=500x332

MacBook产生的美丽电磁场


麦克斯韦方程预言电磁波可以以不同的波长存在,例如我们今天叫作微波、红外线、紫外线和X射线的那些光波就都是电磁波。它们预言这样的波可以通过振荡电场产生。1901年,意大利人古列尔莫·马可尼正是利用这一原理发射了第一束无线电波。它们暗示光本身可以产生压强。果然不错,研究人员在20世纪发现了『太阳风』,它揭开了彗星尾部所指的方向背离太阳的千古之谜。而在1905年,它们又为阿尔伯特·爱因斯坦指明了发现相对论的道路。

NO.8  质能公式
t01c704b12caf617d2c.jpg?size=378x130


又一个简洁公式的典范!同时也又一次刷新了人类的世界观。质能方程深刻地揭示了质量与能量之间的关系,在此之前,人们毫无疑问的认为:质量是质量,能量是能量,两者间没有联系,但在相对论力学中,能量和质量是可互换的。



公式背后的故事


t01298b9d82eeeb06bf.jpg?size=550x407

爱因斯坦其实并没有证明E = mc² !他曾经做过近似处理,因此他只是证明了E ≈ mc²(也就是说,能量与物质大体等价)。他没有真正下手确定这一近似计算的误差是多少。看上去他似乎根本就不在乎——作为一位不拘形骸的天才、数学课的『懒狗』,为什么要用迂腐的数学证明来糟蹋这样一个『很有趣、很有感染力』的想法?当然,爱因斯坦和其他人后来曾经回过头来对这个最重要的原理进行了更为严格的论证。




当你抬头仰望星空的时候,是否有过想问『为什么』的冲动?但浩瀚的宇宙却从来不吐露一个字。人类历史上有一些人,和我们一样也曾仰望星空,他们的名字是:阿基米德、开普勒、高斯、牛顿、麦克斯韦、爱因斯坦……他们用代表着人类的智慧,向宇宙提问、与宇宙对话,将关于宇宙的秘密翻译成我们能懂的语言,这种语言就是如上这些光耀后世的『数学公式』。


每一个伟大公式都是人类文明的集中体现,每一个伟大公式见证的,都是科学的美丽与人类的尊严,每一个伟大的公式背后,都有一段值得回味的故事。


路过

雷人

握手

鲜花

鸡蛋

相关阅读

最新评论

热门文章

QQ|免责声明|本站介绍|工控课堂 ( 沪ICP备14007696号-3 )|网站地图

GMT+8, 2019-8-25 09:46 , Processed in 0.055565 second(s), 35 queries .

Powered by Discuz! X3.4

© 2001-2017 Comsenz Inc.

返回顶部