通常,在交流电机和负载的减速阶段,储存的大部分能量将被电机转化为电能反馈到变频器。当一个高惯性负载突然减速时,会有过大的反馈能量不能被变频器的直流母线所吸收,导致直流母线上电压过高而跳闸。 
由于变频器的直流侧电容只能吸收很小一部分的反馈能量,对于超过系统本身损耗的的制动力矩, 需提供一个动力制动电路来消除剩余能量。通过控制一个专用的制动控制电路控制的制动单元的工作/停止周期来防止直流母线上的电压过高。通过控制在发电过程中制动单元的工作/停止周期来防止直流电压超过最大值和直流侧电容的过度充电。许多变频器的固有特征是当输出频率小于基础频率时,为恒定V/F比值控制(力矩恒定);当输出频率大于基础频率时,为恒电压控制(功率恒定)。因为其恒压变频特性,基础频率之上的再生功率是恒定的,但在基础频率之下,将逐渐衰减至在速度为零时功率为零。当停车时,系统固定损耗大多数情况为摩擦力使驱动系统停止。 当运行在基础频率之上任何速度,再生功率都为最大值且保持恒定,此时制动电阻器发挥最大功效。最大制动扭矩与在恒定电压下反比于电阻值的再生电流是一对函数关系。于是电阻值的选择决定了制动扭矩的大小。 电阻的额定功率取决于制动周期(制动时间和循环时间)和电阻的冷却。 制动电阻的应用 通常情况下,当电源为380-460V时,变频器的直流母线电压最大值为800V,电阻,电缆,绝缘需与此工作电压匹配。 电阻值及额定功率可以由需吸收的能量,即释放的功率值和连续减速的延时时间算出。为了得到电阻的阻值需要知道要求的制动扭矩;为了得到电阻的额定功率需要知道负载的能量有多大。 电机和负载的动能等于 0,5 Jω2 在此 J = 电机和驱动器的总转动惯量(Kgm2 ) 
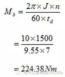
因为能量与角速度的平方成正比,系统的最大能量集中在高速状态,会在开始减速的时候传递给电阻。假如电机运转在基础频率之上,传递给电阻的能量为定值,直到降至基础频率以下。用于制动周期的制动电阻应能承受热冲击,推荐使用额定脉冲式电阻。举例: 转动惯量为10 的负载由1500rpm减速到静止。 计算制动电阻值,额定功率。 
首先最基本的一步是确定减速时间 (Tb): 最大减速发生在电机额定转矩的150%。 最大值 Mb max = 1.5 x 191 = 286.5 最快的减速时间Tb : 可以确定一个实际的减速时间 , 对于这个例子,令 =7s 计算减速时间为7s时需要的制动转矩 制动功率为: 制动电阻阻值为:
电阻的额定功率为:
由于制动电阻的工作为间歇性的,其额定功率可按间歇性的功率选择而不必是连续功率。优点是可根据电阻的过载系数来充分利用电阻的过载值(O/L), 这个系数可由一组冷却曲线得出,这个曲线是由制动电阻生产商或者供应商提供的。 在这个例子中,减速时间设置为7秒,循环周期时间为30秒。 所选择的电阻的额定功率为: 实际上,在再生制动过程中,电机和负载的机械损耗可耗散15%到20%的制动能量。通常的情况下,实际上推荐的制动电阻阻值是代表应用中的最小值,使用推荐的阻值有可能会产生额外的制动转矩。然而,由于负载惯量的能量反馈值是由减速度决定,制动单元通过调整制动电阻的运行/停止周期来实现按照实际速率消耗能量。
|