各生产厂家生产的通用变频器,其主电路结构和控制电路并不完全相同,但基本的构造原理和主电路连接方式以及控制电路的基本功能都大同小异。 主要包括三个部分:一是主电路接线端,包括接工频电网的输入端(R、S、T),接电动机的频率、电压连续可调的输出端(U、V、W);二是控制端子,包括外部信号控制端子、变频器工作状态指示端子、变频器与微机或其他变频器的通信接口;三是操作面板,包括液晶显示屏和键盘。 
变频器外观结构图 

举例:ABB公司ACS600变频器结构图 通用变频器由主电路和控制电路组成,其基本构成如下图所示。其中,给异步电动机提供调压调频电源的电力变换部分称为主电路,主电路包括整流器、中间直流环节(又称平波回路)和逆变器等。 
通用变频器的基本构成 1)整流器:电网侧的变流器为整流器,它的作用是把工频电源变换成直流电源。三相交流电源一般需经过压敏电阻网络引入到整流桥的输入端。压敏电阻网络的作用是吸收交流电网浪涌过电压,从而避免浪涌侵入,导致过电压而损坏变频器。整流电路按其控制方式可以是直流电压源,也可以是直流电流源。电压型变频器的整流电路属于不可控整流桥直流电压源,当电源线电压为380V时,整流器件的最大反向电压一般为1000V,最大整流电流为通用变频器额定电流的2倍。 当将IPM模块安装到散热器上时,操作时应避免安装受力不均匀。推荐使用平面度在150цm或更小的散热器,并避免单边应力过紧,要严格遵照如下图所示的推荐的螺钉安装拧转顺序操作,如果模块受力不均,会导致模块陶瓷绝缘破裂,致使模块损坏或留下潜在的故障隐患。不要将端子和螺钉拧得过紧,在模块产品数据手册中一般会提供最大转矩值,在安装过程中为了符合指定力矩值,必须使用力矩扳手。力最大限度地使基板与散热器接触以利于传热,散热器表面必须具有句皿或更小的表面光洁度,并应在传热界面使用导热硅胶。选择使用的硅胶应能在工作温度内性能稳定,并且保证在装置寿命期内性能不发生变化。 
图(a)所示是两点安装型,预拧紧顺序为①→②,最终拧紧顺序为②→①;图(b)所示是四点安装型,预拧紧顺序为①→②→③→④,最终拧紧顺序为④→③→②→①。 2)逆变器:负载侧的变流器为逆变器。与整流器的作用相反,逆变器是将直流功率变换为所需求频率的交流功率。逆变器最常见的结构形式是利用6个半导体主开关器件组成的三相桥式逆变电路。通过有规律地控制逆变器中主开关的导通和关断,可以得到任意频率的三相交流输出波形。 中间直流环节实际上是中间直流储能环节,另一个作用是承担对整流电路输出进行滤波,以减少电压或电流的波动。此外,由于异步电动机制动的需要,在直流中间电路中还设有制动电阻及其他辅助电路,这就是直流中间电路的作用。电压型变频器的直流中间电路的主要元器件是大容量电解电容,而电流型变频器则主要由大容量电感器组成。 控制电路常由运算电路,检测电路,控制信号的输入、输出电路,驱动电路和制动电路等构成。其主要任务是完成对逆变器的开关控制,对整流器的电压控制,以及完成各种保护功能等。 通用变频器中的制动电路是为了满足异步电动机制动的需要而设置的,对于大、中容量的通用变频器来说,为了节约能源,一般采用电源再生单元将上述能量回馈给供电电源。而对于小容量通用变频器来说,则通常采用制动电路,将异步电动机反馈回来的能量在制动电路上消耗掉。 变频器的分类: 通用变频器按其主电路结构形式可分为交-交变频器和交-直-交变频器,如果主电路中没有直流中间环节的称为交-交变频器,有直流中间环节的称为交-直-交变频器。按其工作方式有电压型变频器和电流型变频器;按其逆变器开关方式有PAM(Pulse Amplitude Modulation,脉冲振幅调制)控制方式、PWM(Pulse Width Modulation,脉宽调制)控制方式和高频载波SPWM(Sinusoidal PWM,正弦脉宽调制)控制方式三种;按其逆变器控制方式有U/f控制方式、转差频率控制方式、矢量控制方式、矢量转矩控制方式和直接转矩控制等。 
变频器的额定值和技术指标: 1.输入侧的额定值: 中、小容量通用变频器输入侧的额定值主要指电压和相数。在我国,输入电压的额定值(指线电压)有3相380V、3相220V(主要是进口变频器)和单相220V(主要用于家用电容小容量变频器)三种。此外,输入侧电源电压的频率一般规定为工频50Hz或60Hz。 2.输出侧的额定值 (1)输出电压UN。由于变频器在变频的同时也要变压,所以输出电压的额定值是指输出电压中的最大值。 (2)输出电流IN。指允许长时间输出的最大电流,是用户在选择变频器时的主要依据。 (3)输出容量: (4)配用电动机容量PN。对于变频器说明书中规定的配用电动机,其容量说明如下: 1)它是根据下式估算的结果: 2)说明书中的配用电动机容量仅对长期连续负载才是适合的,对于各种变动负载则不适用。 (5)过载能力。变频器的过载能力是指允许其输出电流超过额定电流的能力,大多数变频器都规定为150% IN、1min。 变频器的性能指标: 变频器的性能就是通常所说的功能,这类指标是可以通过各种测量仪器工具在较短时间内测量出来的,这类指标是IEC标准和国标所规定的出厂所需检验的质量指标。用户选择几项关键指标就可知道变频器的质量高低,而不是单纯看是进口还是国产,是昂贵还是便宜。以下是变频器的几项关键性能指标。 (1)在0.5Hz时能输出多大的起动转矩 比较优良的变频器在0.5Hz时能输出200%高起动转矩(在22kW以下30kW以上,能输出180%的起动转矩)。具有这一性能的变频器,可根据负载要求实现短时间平稳加减速,快速响应急变负载,及时检测出再生功率。 (2)频率指标。 变频器的频率指标包括频率范围、频率稳定精度和频率分辨率。 频率范围以变频器输出的最高频率fmax和最低频率fmin标示,各种变频器的频率范围不尽相同。通常,最低工作频率约为0.1~1Hz,最高工作频率约为200~500Hz。 频率稳定精度也称频率精度,是指在频率给定值不变的情况下,当温度、负载变化,电压波动或长时间工作后,变频器的实际输出频率与给定频率之间的最大误差与最高工作频率之比(用百分数表示)。 例如,用户给定的最高工作频率fmax=120Hz,频率精度为0.01%,则最大误差为: Δfmax=0.0001×120Hz=0.012Hz 通常,由数字量给定时的频率精度约比模拟量给定时的频率精度高一个数量级,前者通常能达到±0.01%(-10~+50℃),后者通常能达到±0.5%[(25±10)℃]。 频率分辨率指输出频率的最小改变量,即每相邻两挡频率之间的最小差值。 例如,当工作频率fx=25Hz时,如果变频器的频率分辨率为0.01Hz,则上一挡的最小频率为: fn′=(25+0.01)Hz=25.01Hz 下一挡的最大频率为: fx″=(25-0.01)Hz=24.99Hz 对于数字设定式的变频器,频率分辨率取决于微机系统的性能,在整个调频范围(如0.5~400Hz)内是一个常数(例如±0.01Hz)。对于模拟设定式,频率的分辨率还与频率给定电位器的分辨率有关,一般可以达到最高输出频率的±0.05%。 4.速度调节范围控制精度和转矩控制精度 现有变频器速度控制精度能达到±0.005%,转矩控制精度能达±3%。 5.低转速时的脉动情况 低转速时的脉动情况是检验变频器好坏的一个重要标准。有的高质量变频器在1Hz时转速脉动只有1.5r/min。下图给出了在1Hz时几种转速脉冲情况的波形(最上面两种为3.7kW时的特性)。 此外,变频器的噪声及谐波干扰、发热量等都是重要的性能指标,这些指标与变频器所选用的开关器件及调制频率和控制方式有关。用IGBT和IPM制成的变频器,由于调制频率高,其噪声很小,一般情况下连人的耳朵都听不见,但其高次谐波始终存在。如果采用的控制方式较好,也可减少一些谐波量。 
在1Hz时变频器输出转速的脉动情况 变频器的选择: 通用变频器的选择,包括变频器类型的选择和容量的选择。选择变频器规格时应注意根据要求采用合适的选择方式和计算公式,根据工程实际情况确定具体调速方案,包括逆变器与电机的对应关系、整流器与逆变器的对应关系(是否采用成组驱动)、制动部分的结构方式及配置规模、采用哪种控制方式等等。 在选用变频器时,用户通常都要查看该型号变频器的产品资料,每一个品牌的变频器都有多种规格型号供选择,一般通用变频器的技术数据分为型号及定货号、额定输入/输出参数、控制方式等,其中包括一些控制精度、控制参数、显示模式参数、保护特性参数及环境参数等五大类。这里介绍一下在实际工程应用中会涉及到的有关参数的一些知识,供选型时参考。 1.容量: 通用变频器的容量用所适用的电动机功率(kW)、输出容量(kVA)、额定输出电流(A)表示。其中最重要的是额定电流,它是指变频器连续运行时输出的最大交流电流的有效值。输出容量决定于额定输出电流与额定输出电压下的三相视在输出功率。日本产的通用变频器的额定输入电压往往是200V与220V、400V与440V共用不细分,变频器的输入电源电压常允许在一定范围内波动,因此,输出容量一般用作衡量变频器容量的一种辅助手段。 日本的各变频器生产厂家在1993年达成了一个行业协议:变频器的型号规格中均标以所适用的电动机最大功率数(kW)。例如,富士公司的FRN30G11S-4表示产品型号为FRENIC5000,标准适配电动机容量为30kW,系列名称为G11S,电源电压为400V。 变频器所适用的电机功率(kW)是以标准的2或4极电机为对象,在变频器的输出额定电流以内可以传动的电机功率。 380V、160W以下单台电动机与变频器间容量的匹配关系参考表 
2.输入、输出参数 额定输入参数包括电源输入相数、电压、频率、允许电压频率波动范围、瞬时低电压允许值(相当于标准适配电动机85%负载下的试验值)、额定输入电流和需要的电源容量。 额定输出参数包括通用变频器的额定输出电压(不能输出比电源电压高的电压)、额定输出电流(在驱动低阻抗的高频电动机等场合,允许输出电流可能比额定值小)、额定过载电流倍数、额定输出频率等。变频器的最高输出频率因型号的不同而差别很大,通常有50Hz/60Hz、120Hz、240Hz、400Hz或更高,通用变频器中大容量的大都属于50/60Hz这一类,而最高输出频率超过工频的变频器多为小容量。 关于输出频率的调节范围同样因通用变频器型号的不同而不同,较常见的有0.5~400Hz。400Hz以上属中频。 输出频率的精度通常给出两种指标:模拟设定(如最高频率的+0.2%)和数字设定(如最高频率的+0.01%)。输出频率的设定分辨率通常给出三种指标:模拟设定(如最高频率的1/3000,例如60Hz时为0.02Hz等)、数字设定(如小于99.99Hz时为0.01Hz,大于100.0Hz时为0.1Hz等)和串行通信接口链接设定(如最高频率的1/20000,小于60Hz时为0.003Hz,120Hz时为0.006Hz等)。 控制参数: 选用变频器时可根据控制参数及其说明选择所需要的参数,并核对与自己的需要是否相符,有些参数可能用不上,可以不予考虑。 频率上下限。通常预设的频率上限值和下限值。 跳越频率控制。通常设定跳越点的个数、跳越频率设定范围等,主要用于避免机械共振。 瞬时过载能力。根据主回路半导体器件的过载能力,通用变频器的电流瞬时过载能力常常设计成150%额定电流、1min,或120%额定电流、1min。与标准异步电动机(过载能力通常为200%左右)相比较,变频器的过载能力较小。 变频器类型的选择: 变频器类型选择的基本原则是根据负载的要求进行选择。选择方法如下: (1)风机和泵类负载 因为这类负载对转速精度没有什么要求,故选型时通常以价廉为主要原则,选择普通功能型通用变频器。 (2)恒转矩负载 多数负载具有恒转矩特性,但在转速精度及动态性能等方面要求一般不高,例如挤压机、搅拌机、传送带、厂内运输电车、吊车的平移机构、吊车的提升机构和提升机等。选型时可选V/f控制方式的变频器。 (3)被控对象具有一定的动态、静态指标要求 这类负载一般要求低速时有较硬的机械特性,才能满足生产工艺对控制系统的动态、静态指标要求。如果控制系统采用开环控制,可选用具有无转速反馈矢量控制功能的变频器。 (4)被控对象具有较高的动态、静态指标要求 对于调速精度和动态性能指标都有较高要求以及要求高精度同步运行等场合,可采用带速度反馈的矢量控制方式的变频器。如果控制系统采用闭环控制,可选用能够四象限运行、V/f控制方式、具有恒转矩功能型变频器。例如轧钢、造纸、塑料薄膜加工生产线这一类对动态性能要求较高的生产机械,采用矢量控制的高性能通用变频器,不但能很好地满足生产工艺要求,还能降低调节器控制算法的难度。 变频器容量的计算: 选择变频器容量的基本原则: 1.应以电动机的额定电流和负载特性为依据选择通用变频器的额定容量。 2.通用变频器的容量多数是以kW数及相应的额定电流标注的,对于三相通用变频器而言,该kW数是指该通用变频器可以适配的4极三相异步电动机满载连续运行的电动机功率。一般情况下,可以据此确定需要的通用变频器容量。 3.由于通用变频器输出中包含谐波成分,其电流有所增加,应适当考虑加大容量。当电动机属频繁起动、制动工作或处于重载起动且较频繁工作时,可选取大1挡的通用变频器,以利于通用变频器长期、安全地运行。其次应考虑最小和最大运行速度极限,满载低速运行时电动机可能会过热,所选通用变频器应有可设定下限频率、可设定加速和减速时间的功能,以防止低于该频率下运行。 4.一般风机、泵类负载不宜在低于15Hz以下运行,如果确实需要在15Hz以下长期运行,需考虑电动机的容许温升,必要时应采用外置强迫风冷措施,即在电动机附近外加一个适当功率的风扇对电动机进行强制冷却,或拆除电动机本身的冷却扇叶,利用原扇罩固定安装一台小功率(如25W,三相)轴流风机对电动机进行冷却。如果电动机的起动转矩能满足要求,宜选用通用变频器的降转矩U/f模式,以获得较大的节能效果。若通用变频器用于离心式风机时,由于风机的转动惯量较大,加减速时间应适当加大,以避免在加减速过程中出现过电流保护动作或再生过电压保护动作。要特别注意50Hz以上高速运行的情况,若超速过多,会使负载电流迅速增大,导致烧毁设备,使用时应设定上限频率,限制最高运行频率。 一、按电动机额定电流选择 对于多数的恒转矩负载,可以按照这个方式选择变频器规格: 式中,ICN是变频器额定电流;IM是电动机额定电流;K1是电流裕量系数,根据应用情况,一般可取为1.05~1.15。对于K1,一般情况可取小值,在电动机持续负载率超过80%时则应该取大值,因为多数变频器的额定电流都是以持续负载率不超过80%来确定的。 另外,起动停止频繁的时候也应该考虑取大值,这是因为起动过程以及有制动电路的停止过程电流会短时超过额定电流,频繁起动停止则相当于增加了负载率。 【例1】某110kW电动机的额定电流为212A,取电流裕量系数为1.05,按照上式计算,可得变频器额定电流要大于等于222.6A,可选择某型号110kW变频器,其额定电流为224A。 这里的裕量系数主要是为防止电动机的功率选择偏低、实际运行时经常轻微超载而设置的,这种情况对于电动机而言是允许的,但若不设置裕量系数,则会造成变频器负担过重而影响其使用寿命。在变频器内部设定电动机额定电流时不应该考虑裕量系数,否则,变频器对电动机的保护就不会有效了。 多数情况下,按照上式计算的结果,变频器的功率与电动机功率都是匹配的,不需要放大,因此在选择变频器时盲目把功率放大一级是不可取的,这样会造成不必要的浪费。 二、按电动机实际运行电流选择 这个方式特别适用于技术改造工程,其计算公式为: 。式中,K2是裕量系数,考虑到测量误差,K2可取1.1~1.2,在频繁起动停止时应该取大值;Id是电动机实测运行电流,指的是稳态运行电流,不包括起动、停止和负载突变时的动态电流,实测时应该针对不同工况作多次测量,取其中最大值。 按照上式计算后,实际选择时恒转矩负载的变频器标称功率不应小于电动机额定功率的80%,二次方转矩负载的变频器标称功率不应小于电动机额定功率的65%,如果应用时对起动时间有要求,则通常不应该降低变频器功率。 【例2】某风机电动机为160kW,额定电流为289A,实测稳定运行电流在112~148A之间变化,起动时间没有特殊要求。取Id=148A,K2=1.1,按照上式计算,变频器额定电流应不小于162.8A,可选择某型号的90kW变频器,额定电流为180A。但90/160=56.25%,因此,实际选择该型号110kW变频器,110/160=68.75%,符合要求。 三、按照转矩过载能力选择 变频器的电流过载能力通常比电动机的转矩过载能力低,因此,按照常规配备变频器时电动机转矩过载能力不能充分发挥作用。 
式中,λd是电动机转矩过载倍数,λf是变频器电流短时过载倍数,K3是电流/转矩系数。 电动机转矩过载倍数可以从样本查得,变频器电流1min过载倍数为150%时,最大瞬间过载电流倍数为200%,可用的短时过载倍数可按1.6~1.7选取; 【例3】某轧钢机飞剪机构,在空刃位置时要求低速运行以提高定尺精度,进入剪切位置前则要求快速加速到线速度与钢材速度同步,因此需要按照转矩过载能力选择变频器,飞剪电动机160kW,额定电流296A,转矩过载倍数2.8。 取电流/转矩系数为1.15,变频器短时过载倍数为1.7,用上式计算得变频器额定电流应不小于560A,选择某型号300kW变频器,额定电流为的605A。 四、按起动特性选择 1.电动机直接起动时 通常,三相异步电动机直接用工频起动时,其起动电流为额定电流的4~7倍。对于电机功率小于10kW的电机直接起动时,可按下式选取变频器: 
的堵转电流(A);Kg为变频器的允许过载倍数,Kg=1.3~1.5。 2.大惯性负载起动时 对于大惯性负载,一般按下式计算变频器的容量: 
式中,GD2为换算到电动机轴上的总飞轮矩(N·m2);TL为负载转矩(N·m);η为电动机效率(通常约0.85);cosф为电动机功率因数(通常约0.75);tA为电动机加速时间(s),根据负载要求确定;k为电流波形的修正系数(PWM方式时取1.05~1.1);nM为电动机额定转速(r/min);PCN为变频器容量(kVA)。 这种情况下,所有电动机由变频器供电且同时起动,但一部分功率较小的电动机(一般小于7.5kW)直接起动,功率较大的则使用变频器实行软起动。此时,变频器的额定输出电流按下式计算: ICN≥[N2Ik+(N1-N2)In]/Kg 式中,N1为电动机总台数;N2为直接起动的电动机台数;Ik为电动机直接起动时的堵转电流(A);In为时机额定电流;Kg为变频器容许过载倍数(取1.3~1.5)。 4.并联运行中追加投入起动时 用一台变频器拖动多台电动机机并联运转时,对于一小部分电动机开始起动后,再追加投入其他电动机起动的场合,如图 此时,变频器的电压、频率已经上升,追加投入的电动机将产生较大的起动电流。因此,变频器容量与同时起动时相比需要增大一些。变频器额定输出电流ICN可按下式计算: 
式中,N1为先起动的电动机台数;N2为追加投入起动的电动机台数;IHn为先起动的电动机的额定电流(A);ISn为追加投入电动机起动的额定电流(A);k为修正系数(取1.05~1.10)。 
五、按运行特性选择 1.连续运转时 由于变频器传给电动机的是脉冲电流,其脉动值比工频供电时电流要大,因此,须将变频器的容量留有适当的余量。此时,变频器应同时满足以下三个条件: 
式中,PM为负载所要求的电动机的轴输出功率;η为电动机的效率(通常约0.85);cosф为电动机的功率因数(通常约0.75); 为电动机电压(V); 为电动机电流(A),是工频电源时的电流;k为电流波形的修正系数(PWM方式时,取1.05~1.0);PCN为变频器的额定容量(kVA);ICN为变频器的额定电流(A)。 2.一台变频器拖动多台电动机并联运行时 这种情况下应考虑以下几点: (1)根据各电动机的电流总和来选择变频器。 (2)在整定软起动、软停止时,一定要按起动最慢的那台电动机进行整定。 当变频器短时过载能力为150%、1min时,若电动机加速时间在1min以内,则有: 
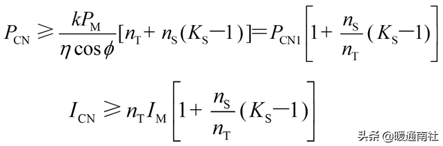
当电动机加速时间在1min以上时: 
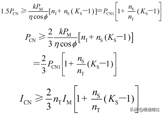
式中,PM为负载所要求的电动机的轴输出功率;nT为并联电动机的台数;nS为电动机同时起动的台数;η为电动机效率(通常约0.85);cosф为电动机功率因数(通常约0.75);PCN1为连续容量(kVA),PCN1=kPM nT/ηcosф;KS为(电动机起动电流)/(电动机额定电流);IM为电动机额定电流(A);k为电流波形的修正系数(PWM方式时取1.05~1.1);PCN为变频器容量(kVA);ICN为变频器额定电流。 六、按指定加、减速时间选择 在指定加速时间情况下,变频器所必须的容量按下式计算: 

2.按指定减速时间选择 (1)计算制动力矩。 制动力矩可由下式计算: 

(2)计算制动电阻的阻值 
变频器选择注意事项: 选择通用变频器时,应注意以下两点: (1)当电动机的实际负载比电动机的额定输出功率小时,一般认为可选择与实际负载相称的变频器容量。但是,对于通用变频器,这种做法并不理想,其理由如下: 1)电动机在空载时也流过额定电流30%~50%的励磁电流。 2)起动时流过的起动电流与电动机施加的电压、频率相对应,而与负载转矩无关。如果变频器容量小,此电流超过过流容量,则往往不能起动。 3)电动机容量大,则以变频器容量为基准的电机漏抗百分比变小,变频器输出电流的脉动增大,因而过流保护容易动作,电动机往往不能运转。 (2)电动机用通用变频器起动时,其起动转矩同用工频电源起动相比多数变小,根据负载的起动转矩特性有时不能起动。 变频器常见故障处理: (一)轻故障 1、定义:不影响变频器运行的故障。 2、轻故障出现时变频器的处理: (1)轻故障发生时,变频器给出间歇的“音响报警”和间断的“故障指示”。报警状态下,如果用户发出“报警解除”指令,则系统撤消“音响报警”信号。 (2)对于轻故障的发生,变频器不作记忆锁存处理。故障存在时报警,如果故障自行消失,则报警自动取消。 (3)需要提醒用户注意的是,虽然轻故障不会立即导致停机,但也应及时采取处理措施,以免演变为重故障。如UPS输入掉电,必须马上处理。 3、轻故障汇总 (1)单元旁路(以下情况,功率单元可以旁路运行:功率单元输入缺相、功 率单元过热、功率单元直流母线欠压、功率单元驱动故障、功率单元电源故障;); (2)控制电源掉电; (5)电机120%过载; (7)环境温度过于40℃ (8)运行中柜门打开(可设定为重故障) (二)重故障 1、定义:出现后变频器立即停机,并切断输入侧高压电的故障。 2、重故障出现时变频器的处理: (1)重故障发生时,变频器给出连续的“音响报警”、“高压急切”以及“紧急停机”指令。用户可以用“报警解除”按钮清除报警的音响信号,但变频器保持“高压急切”以及“紧急停机”指令。 (2)重故障发生后,系统作记忆处理。故障一旦发生,变频器报警并自动跳闸停机。如果故障自行消失,“高压急切”以及“紧急停机”等指令也都一直保持,故障原因被记录。只有故障彻底排除,并且用“系统复位”按钮将系统复位后才能重新开机。 3、重故障汇总 (1)变压器严重过热140℃; (2)电机150%过流; (3)系统故障(以下情况,可以引起系统故障:主控箱电路板故障、旁路级数超过设定值、功率单元直流母线过压、功率单元光纤故障)。 保护定值: 1、过载保护:电机额定电流的120%,每十分钟允许1分钟(反时限特性),超过则保护停机。 2、过流保护:电机额定电流的150%,允许3秒钟,超过则立即保护停机。变频器输出电流超过电机额定电流的200%,在10微秒内保护停机。 3、过压保护:检测每个功率模块的直流母线电压,如果超过额定电压的115%,则变频器停机。 4、欠压保护:检测每个功率模块的直流母线电压,如果低于设定的数值(65%Un 15s,完全失电3s),则变频器停机。 5、变频器柜体设置温度检测,当环境温度超过40℃时,发出报警信号。 6、在主要发热元件上设置温度检测,一旦超过设定跳机温度85℃,则保护停机。 7、对整流变压器进行温度保护,130℃时发出报警信号,变频器可继续运行;140℃时发出跳闸信号,变频器停机。 故障处理的步骤: 第一步:先按报警解除按钮,将报警声音关闭; 第二步:查看界面提示; 第三步:观察高压电是否断开; 第四步:确认高压断开; 第五步:根据界面提示,检查故障点; 第六步:故障处理时,要有条理,在整个信号传输、连接链条中查找,逐一排除。
|