找回密码
 立即注册

QQ登录

只需一步,快速开始

查看: 4149|回复: 13

电流互感器一、二次侧绕组作用及其接地方式的区别

 火.. [复制链接]
  • 打卡等级:常驻代表
  • 打卡总天数:34
  • 打卡月天数:6
  • 打卡总奖励:9027
  • 最近打卡:2025-12-17 23:15:51

2823

主题

541

回帖

2万

积分

管理员

积分
22569
发表于 2019-6-18 20:17:24 | 显示全部楼层 |阅读模式
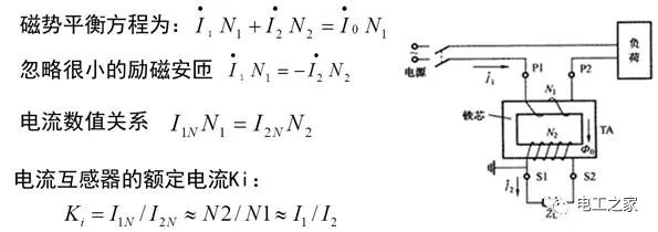
电流互感器的作用是:将一次回路大电流变为二次回路标准的小电流(5A或1A),从而使测量仪表保护装置标准化,小型化,并使其结构轻巧,价格便宜,便于屏内安装;并可采用小截面电缆进行远距离测量。

电力系统中广泛采用的是电磁式电流互感器,它的工作原理和变压器相似。电流互感器的原理接线如图:

电流互感器的工作特点:
1、一次侧电流:一次绕组串联在所测量的一次回路中,并且匝数很少。因此,一次绕组中的电流I完全取决于被测回路的负荷电流,而与二次绕组电流大小无关。
2、二次侧电流:二次绕组中的匝数N2很多,是一次绕组匝数的若干倍。二次绕组的电流完全取决于一次绕组电流。
3、电流互感器的二次回路中所串接的负载,是测量仪表和继电器的电流线圈。它们的阻抗都小,因此电流互感器在正常工作时,二次侧接近于短路状态,这是与普通电力变压器的主要区别。
当一次侧流过电流I1时,在铁芯中产生交变磁通,此磁通穿过二次绕组,产生电动势,在二次回路中产生电流I2。
电流互感器在正常工作状态时,二次负荷电流I2所产生的二次磁势对一次磁势F1有去磁作用,因此合成磁势F0及铁芯中的合成磁通数值都不大。
电流互感器在正常工作时,二次绕组绝对不允许开路。
如果运行中的电流互感器二次绕组开路,则二次磁势等于零,而一次磁势不变,且全部用于激磁。此时合成磁势Fo等于F1,比正常状态的合成磁势增大了许多倍,使铁芯中的磁通急剧增加而达到饱和状态。
铁芯饱和,使随时间变化的磁通波形变为平顶波。在波形上升和下降处,因磁通急剧变化在二次绕组内所感应的电势可达几千伏甚至更高,对设备和人员是极其危险的。
磁感应强度骤增,会引起铁芯和绕组过热。在铁芯中会产生剩磁,使互感器准确级变低。
电流互感器二次回路必须接地(只能是一点接地),其目的是为了防止当一、二次之间绝缘被破坏时,对二次设备与人身造成危害,所以一般宜在配电装置处经端子接地。
电流互感器一次回路不能接地,电流互感器的一次回路就是被测线路的主回路,电流互感器的一次侧是不能接地的,否则会造成严重的短路事故。
题外话:
不少朋友留言问一次侧,二次侧是什么?
针对暖通空调系统,简单说:一次侧二次侧分别都有两个不同温度。一共四个不同温度。通过物质间进行热传递。一次侧是提供换热的介质。二次侧是用户需要用到的介质。
工控课堂 www.gkket.com
  • 打卡等级:常驻代表
  • 打卡总天数:34
  • 打卡月天数:6
  • 打卡总奖励:9027
  • 最近打卡:2025-12-17 23:15:51

2823

主题

541

回帖

2万

积分

管理员

积分
22569
 楼主| 发表于 2019-6-24 22:25:28 | 显示全部楼层
这个类目最活跃了!赞一个!
工控课堂 www.gkket.com

11

主题

437

回帖

2823

积分

高级会员

积分
2823
发表于 2019-6-27 14:13:57 | 显示全部楼层
感谢楼主无私分享!
工控课堂 www.gkket.com

0

主题

88

回帖

231

积分

注册会员

积分
231
发表于 2019-6-27 17:50:47 | 显示全部楼层
强烈支持楼主ing……
工控课堂 www.gkket.com

0

主题

233

回帖

496

积分

注册会员

积分
496
发表于 2025-11-15 09:01:14 | 显示全部楼层
哈哈哈哈笑不活,楼主这脑洞绝了!
工控课堂 www.gkket.com

0

主题

92

回帖

151

积分

新手上路

积分
151
发表于 2025-11-15 11:15:12 | 显示全部楼层
浅蹲一个后续,楼主更新踢我一下
工控课堂 www.gkket.com

0

主题

102

回帖

153

积分

新手上路

积分
153
发表于 2025-11-16 19:38:40 | 显示全部楼层
我先占个楼,等下再慢慢看~
工控课堂 www.gkket.com

0

主题

88

回帖

134

积分

新手上路

积分
134
发表于 2025-11-16 22:46:15 | 显示全部楼层
同款经历!我当初也这么过来的😂
工控课堂 www.gkket.com

0

主题

516

回帖

1647

积分

高级会员

积分
1647
发表于 2025-11-17 02:01:52 | 显示全部楼层
占个楼慢慢看,先马克一下
楼主辛苦啦,期待下一篇分享
工控课堂 www.gkket.com

0

主题

104

回帖

176

积分

新手上路

积分
176
发表于 2025-11-19 14:39:22 | 显示全部楼层
路过混个脸熟,顺便为优质内容打 call~
工控课堂 www.gkket.com
您需要登录后才可以回帖 登录 | 立即注册

本版积分规则

关闭

站长推荐上一条 /1 下一条

QQ|手机版|免责声明|本站介绍|工控课堂 ( 沪ICP备20008691号-1 )

GMT+8, 2025-12-22 17:57 , Processed in 0.118910 second(s), 25 queries .

Powered by Discuz! X3.5

© 2001-2025 Discuz! Team.

快速回复 返回顶部 返回列表