找回密码
 立即注册

QQ登录

只需一步,快速开始

工控课堂 首页 工控文库 自动化控制 查看内容

神经网络硬核入门-反向传播(BP)算法

2022-4-15 21:04| 发布者: 198366809| 查看: 946| 评论: 0

摘要: 1 发展历史1943年,Warren McCulloch和Walter Pitts发表题为《A Logical Calculus of the Ideas Immanent in Nervous Activity》的论文,首次提出神经元的M-P模型。1958年,就职于Cornell航空实验室的Frank Rosenbla ...

1 发展历史

1943年,Warren McCulloch和Walter Pitts发表题为《A Logical Calculus of the Ideas Immanent in Nervous Activity》的论文,首次提出神经元的M-P模型。

1958年,就职于Cornell航空实验室的Frank Rosenblatt发明了的一种称为感知器(Perceptron)的人工神经网络。它可以被视为一种最简单形式的前馈神经网络。

1969年,Marvin Minsky和 Seymour Papert发表《Perceptrons: an introduction to computational geometry》一书,从数学的角度证明了单层神经网络的局限性,指出神经网络甚至在面对简单的“异或”逻辑问题时也显得无能为力。因为这篇文章,神经网络的研究陷入了很长一段时间的低迷期,史称“Minsky造成的神经网络冰河事件”。

1974 年,Paul Werbos在哈佛大学攻读博士学位期间,就在其博士论文中发明了影响深远的著名BP神经网络学习算法,但没有引起重视。

1986年,David E. Rumelhart, Geoffrey E. Hinton和 Ronald J. Williams发表文章《Learning representations by back-propagating errors》,重新报道这一方法,BP神经网络学习算法才受到重视。

自此,反向传播算法正式成型,历史的车轮开始缓缓转动,一场对神经网络和深度学习的轰轰烈烈的研究和应用正在徐徐拉开帷幕。

(反向传播算法有多努力,有多牛逼,你们知道吗?)

2 基本定义

神经网络硬核入门-反向传播(BP)算法

图2.1 神经网络

图2.1是一个2层神经网络的示例。

第0层又被称为输入层,最后一层又被称为输出层,中间的若干层被称为隐藏层。

神经网络的层数是从隐藏层开始计数的,输入层不计入总层数。

z表示每个神经元的输入信号,上标(l)表示该神经元在神经网络的第l层,下标i表示该层的第i个神经元:

z向量化后为(假设第l层神经网络有k个神经元):

神经网络硬核入门-反向传播(BP)算法

a表示每个神经元的输出信号,上标(l)表示该神经元在神经网络的第l层,下标i表示该层的第i个神经元:

a向量化后为(假设第l层神经网络有k个神经元):

神经网络硬核入门-反向传播(BP)算法

w表示上一层神经元到下一层神经元的权重,上标(l)表示第l-1层神经元到第l层神经元的权重,下标i,j表示前一层的第i个神经元到后一层的第j个神经元的权重:

w向量化后为(假设第l-1层神经网络有k个神经元,第l层神经网络有q个神经元):

神经网络硬核入门-反向传播(BP)算法

b表示每个神经元输入信号的偏置值,有时又被称为偏置项或偏置单元,上标(l)和下标i表示该偏置属于神经网络的第l层第i个神经元:

b向量化后为(假设第l层神经网络有k个神经元):

神经网络硬核入门-反向传播(BP)算法

注:第一次看本文的时候,可以先跳过“向量化”的内容不看。

3 前向传播

前向传播,就是将样本数据输入到神经网络模型,经由神经网络计算,最终输出预测值的过程。

每个神经元的输入信号z,由参数w、b,和前一层的输出信号a 决定(假设第l层神经网络有k个神经元):

神经网络硬核入门-反向传播(BP)算法

向量化后为:

神经网络硬核入门-反向传播(BP)算法

每个神经元的输出信号z,由激活函数σ和同一个神经元的输入信号a决定(为方便起见,本文中整个神经网络都采用同一种激活函数。但是,实际应用中,隐藏层和输出层的激活函数常常是不一样的):

神经网络硬核入门-反向传播(BP)算法

向量化后为:

神经网络硬核入门-反向传播(BP)算法

下面以图3.1为例进行说明。

神经网络硬核入门-反向传播(BP)算法

图3.1 前向传播模型

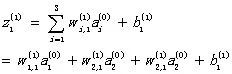
样本数据为 (x,y)。其中:x=(x1,x2, x3),x的维度为3维;y=(y1,y2),y的维度为2维。

神经网络的输入层的数据z0为:

神经网络硬核入门-反向传播(BP)算法

神经网络的输出层的预测值y^为:

神经网络硬核入门-反向传播(BP)算法

某个神经元节点的输入信号:

神经网络硬核入门-反向传播(BP)算法

某个神经元节点的输出信号:

神经网络硬核入门-反向传播(BP)算法

神经网络的预测值的损失函数/代价函数为:

神经网络硬核入门-反向传播(BP)算法

注1:损失函数LossFunction、误差函数ErrorFunction、代价函数CostFunction,及其缩写L、E、C表达的是同一个函数。

注2:损失函数里的系数1/2,仅仅是为了令函数求导后的系数为1,为了方便计算而设定的,没有实际意义。

4 反向传播

4.1 算法思路

为了能够得到一个优质的神经网络模型,我们需要求模型的两类参数w和b的最优值,以达到令损失函数值最小的目标。

显而易见的,对于这个L的最优化问题,我们可以考虑使用求偏导数的方法,并利用梯度下降法逐步逼近参数w和b的最优解。

但是由于神经网络结构复杂、参数多,导致传统的偏导数和梯度下降法无法直接被使用。直至反向传播算法应运而生,它大大提高了求解神经网络模型的最优化参数的效率,使得神经网络实现了从理论到工业应用的跨越,也掀起了学习和使用神经网络的热潮。

反向传播算法:首先利用损失函数求得模型的最终误差。接着再将误差自后向前层层传递,获取每个神经元的误差。最后将每层每个神经元的误差对w和b求偏导,迭代获取的w和b的最优解,从而构建损失函数最小的最优神经网络模型。当然,和梯度下降法类似,神经网络也需要经过多次迭代,才能够逼近并获得最优模型。

注:反向传播算法能够提高计算效率的两个因素:一是运算过程的向量化,二是能够实现分布式计算。

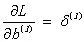
4.2 求误差δ

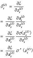
我们对任意神经元上的误差δ作出如下定义:

神经网络硬核入门-反向传播(BP)算法

注1:这个误差δ完全是一个人为的定义,求误差δ的目的,是以此为中介,求损失函数对参数w和b的偏导数。我们也可以定义误差为损失函数对神经元输出信号的偏导。

注2:虽然这个误差是一个人为的定义,但是这个思路在机器学习领域一直都有可靠且广泛的应用,例如XGB和LGB的残差也是用了类似的将损失函数对超参数求偏导的方法。

那么,对于神经网络的最后一层(第L层),可以求得整个神经网络的第一组误差:

神经网络硬核入门-反向传播(BP)算法

进行向量化,并记为 公式BP1 :

神经网络硬核入门-反向传播(BP)算法

其中:右式用到了哈达玛积,表示将两个同样结构的矩阵的相同位置上的数值相乘。

这样,我们就求得了最后一层神经网络的误差。

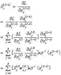
接着,为了能够把误差层层向前传导,我们需要找到两个相邻层误差之间的关系,对于任意两层l层和l-1层的神经网络:

神经网络硬核入门-反向传播(BP)算法

进行向量化,并记为 公式BP2 :

神经网络硬核入门-反向传播(BP)算法

其中:右式的第二项和第三项之间用到了哈达玛积,表示将两个同样结构的矩阵的相同位置上的数值相乘。

现在,根据公式BP1我们能够获得网络最后一层的输出误差,接着根据公式BP2我们能够从后往前获得网络所有层的误差。

4.3 求参数w和b的偏导数

获取了各层各神经元的误差δ后,我们就能够利用误差δ作为中介,对模型参数w和b进行迭代求解。

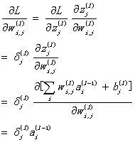
先求解w的偏导数:

神经网络硬核入门-反向传播(BP)算法

进行向量化,并记为 公式BP3 :

神经网络硬核入门-反向传播(BP)算法

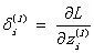
再求解b的偏导数:

神经网络硬核入门-反向传播(BP)算法

进行向量化,并记为 公式BP4 :

神经网络硬核入门-反向传播(BP)算法

4.4 迭代

和梯度下降法类似,反向传播算法要进行多次迭代,以使得参数w和b趋向能够使损失函数最小的值。

每轮迭代时,参数w和b的变化公式如下:

神经网络硬核入门-反向传播(BP)算法

这里的α是超参数:学习效率(LearningRate)。用于控制参数w和b变化的速度。

注:本文的推导只涉及一个输入样本的数据,但是在实际应用中,一般会使用批量样本,这时只需要将各个样本求得的偏导数取均值,再进行迭代即可,具体内容这里就不作展开了。

4.5 算法流程总结

简要叙述下反向传播算法的流程:

启动一个循环,事先定义好循环终止的条件,循环内容如下:

步骤1:根据公式BP1,求得神经网络模型最后一层的误差δ(L)。

步骤2:根据公式BP2,自后向前,求得神经网络模型所有层的误差δ(l)。

步骤3:根据公式BP3和BP4,求得参数w和b的偏导数∂L/∂w和∂L/∂b。

步骤4:利用偏导数∂L/∂w和∂L/∂b,更新参数w和b。

步骤5:判断当前模型的损失函数L是否符合预期,如果“是”则跳出循环终止训练,否则继续训练。

5 实操技巧

只会推公式对解决问题没有任何帮助!!!

推导数学公式的目的在于了解算法,以达到建立和优化模型的目的。所以谷歌最喜欢用的算法就是“博士生下降”(grad student descent)算法,也就是靠那些数学很好的博士去调参。。。。。。

本节介绍几个和反向传播算法相关的实操技巧。

5.1 梯度消失

先回顾一下公式BP2:

神经网络硬核入门-反向传播(BP)算法

我们重点关注下激活函数的导数:

神经网络硬核入门-反向传播(BP)算法
关注公众号,加入500人微信群,下载100G免费资料!

最新评论

热门文章
关闭

站长推荐上一条 /1 下一条

QQ|手机版|免责声明|本站介绍|工控课堂 ( 沪ICP备20008691号-1 )

GMT+8, 2025-12-23 12:12 , Processed in 0.073753 second(s), 23 queries .

Powered by Discuz! X3.5

© 2001-2025 Discuz! Team.